近几年中国游戏市场的收入保持着快速增长的趋势,付费用户的增加和付费能力的提高,不断推动着游戏行业的高速发展,2020年中国手游市场规模2096.76亿元,同比增长32.61%,手游销售收入占整个游戏市场销售收入近75%。那应当如何对手游版权价值进行评估分析呢?
近几年中国游戏市场的收入保持着快速增长的趋势,付费用户的增加和付费能力的提高,不断推动着游戏行业的高速发展。手机游戏作为能够大量吸引用户和流量的应用,已经成为当下各大互联网巨头争相抢占的市场。根据智研咨询披露的数据,2020年中国手游市场规模2096.76亿元,同比增长32.61%,手游销售收入占整个游戏市场销售收入近75%。2020年国内手游用户达到6.5亿人,每个用户平均消费增长至320.61元。预计在未来几年中,手游行业仍将保持迅速发展的趋势。因此,对手游软件所涉及的版权进行合理估值定价,在手游开发商对外融资、投资者对游戏或厂商进行投资等环节中均具有重要意义。那应当如何对手游版权价值进行评估分析呢?
一、手游盈利模式分析与评估思路确定
游戏的盈利收入模式影响着游戏商业价值的兑现。通常手游的盈利方式有以下几种:付费下载、广告收入、道具出售及衍生品开发。用户一次性付费下载取得手游安装包以及游戏内嵌广告是手游最直接的盈利方式。此外,目前几乎所有名义上的免费手游,都会通过向玩家出售道具、皮肤等虚拟用品来实现盈利,该方式所占收益比重非常大。除上述方式外,进行衍生品开发(包括跨平台运营)也是实现盈利是手游的另外一种商业模式。例如,将手游平移到Switch、PS等其他平台上运营,就涉及对手游版权的衍生品开发并获得收益,当然进行这种衍生品开发存在一定风险。
在对手游的版权价值进行评估时,我们主要考虑的是待估手游版权所带来的能够预测的预期收益。从上述游戏盈利模式分析可知,这种收益来源于付费下载、广告、道具出售以及衍生品开发产生的收入。其中前三种属于对游戏版权的规避风险的基础应用所带来的商业收益,而衍生品开发是对手游版权的合理开发利用带来的超额价值。实践中,大多数版权价值评估仅针对确定的未来现金流进行折现估值,这部分价值的评估将在本文第三部分进行分析。而手游版权衍生品开发带来的超额收益估值,涉及手游版权的期权价值,将在本文第四部分进行简要讨论。
二、评估基本要素与评估方法的确定
(一)评估基本要素
手游版权价值评估时,需要明确相关要素,以下模拟某手游公司转让其持有的某手游版权为例,进行估值时首先明确以下基本要素。

(二)估值方法的选择
在游戏文化与流行趋势快速更迭的今天,游戏产业面临着极其不稳定的社会及市场环境。前文在评估思路中已经提及,手游版权的价值较适合运用收益法进行评估。这里对收益法与成本法、市场法这三种基本评估方法在手游估值领域应用上的比较如下:

综上我们可以看出,由于手游版权价值主要来源于能够为持有版权的游戏公司带来的未来经济收益,而并不是取决于其取得获得版权的成本,因此成本法在一般情况下不适合用来评估版权价值;其次,对市场条件和信息来源的高要求让市场法的使用受到了很大制约。所以,收益法通常是对手游作品版权价值进行评估的较为科学合理的选择。
三、手游版权的收益法估值分析
运用收益法对手游版权的评估,系通过对运营游戏可以获取的净现金流量进行折现来确定其资产价值,具体而言就是首先预测手游版权的经济寿命,再预测未来和该版权相关的销售收入和销售成本并确定税后现金流,最后以恰当的折现率进行折现确定委估手游版权的评估价值。
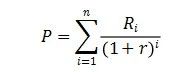
收益法的基本计算公式:

其中:
P ——手游版权的评估价值;
Ri ——评估对象未来第i年的现金流量(预期收益);
i ——收益年限;
r ——折现率;
在获得预期收益、折现率和收益期限的全部数值之后,可以计算出待估手游在收益期限内各年度的净现金流量及其净现值,加总后可得到待估手游版权的评估价值。为了使评估结果更加客观合理,运用收益法评估时既要考虑手游版权资产本身的特殊性对上述参数的潜在影响,又必须减少评估中的不确定因素,选取合适的参数对预期收益、折现率和收益期限这三个重要数值进行计算。
1、收益年限的计算
由于评估对象为手游版权,虽然版权本身法定保护期限较长,但考虑手游的经济寿命,主要结合游戏运营情况、同类型游戏的经济寿命、已运营时间和付费客户数判断手游的收益年限。周期性是游戏产品的一大重要特点,其波动性在游戏企业营运流水中体现得十分明显,这导致手游的收益期限不易合理确定。通常手游的具体运营期限从游戏上线时间(通常非评估基准日)起3-8年不等,应具体分析,并且在评估中往往会出现收益期限高估的情况。
2、预期收益的计算
(1)营业收入
手游的预期收益与市场认可度有很强的关系。由于广告收入较为明确,故此处对未来年度收益数据的预测主要根据待估手游产品的运营特点及企业盈利资料来预测此款游戏经济寿命年限内的付费下载与道具出售收入等其他收入,其是在充分考虑游戏的历史运营状况及此类游戏生命周期的基础上对未来收入流水进行测算。评估时,需要预测评估基准日到待估资产经济寿命周期结束为止手游能够带来的营业收入,营业收入金额通常先低后高再降低。
对于评估基准日已上线的手游产品,主要依据企业过去的游戏运营数据及游戏剩余生命周期进行预测。游戏流水预测主要包括付费用户数与活跃用户数、平均消费额、付费率等数据的测算。自主运营的,按个人玩家购买总额确认收入,游戏产品流水预测的结果全额作为企业的收入入账。代理运营的,扣减第三方运营平台收取的佣金费用作为游戏企业的销售费用。计算公式如下:
手游版权产生的年现金流量=预测期内每年预测收入=付费用户年平均消费额×活跃用户数×付费率×(1-渠道折扣)–相关税费
根据上述公式测算预测收入时,应考虑游戏产品所处的不同发展阶段,还包括宏观经济环境、媒介技术环境、法律政策环境和市场供求竞争状态,从而得出不同游戏产品所处时期每个付费用户的平均消费水平、活跃用户数与付费率。可按照手游以前年度运营数据资料,并结合评估基准日时点游戏市场反馈状况,对已上线产品进行合理预测;对于未上线的游戏产品,按照企业过去已有年度的其他游戏产品运营数据资料,或市场上其他同类型游戏的前期运营情况,结合游戏产品潜在的或可能的用户群体以及企业对新开发游戏产品的市场定位进行合理预测。
(2)运营成本与税负预测
运营成本预测参照历史年度发生比例进行预测,具体运营成本包括研发费用-费用化(人力成本)、服务器托管费用、市场推广费、折旧、其他等成本。税负预测根据企业实际应缴的税负规定进行缴纳。部分企业可享受税收政策,如游戏企业为国家重点软件企业,还可享受部分企业所得税等税收优惠。
3、折现率r的计算
折现率是将未来的收益折算为现值的系数,它体现了资金的时间价值。对于版权这种无形资产的折现率估测可以采用风险累加、加权平均资本成本途径等方式。其中,风险累加法是将无风险报酬率加上风险报酬率(主观判断技术风险+市场风险+资金风险+管理风险构成的风险报酬率)作为无形资产折现率。这种方法在我国运用得较多,但其忽略了利率的期限对投资回报率的影响(用较短期限的国债利率或一年期银行贷款利率作为无风险报酬率可能低估无形资产的必要报酬率),且计算风险报酬率时,对各种风险报酬率的量化严重依赖评估人员的主观判断。
考虑到风险累加法存在的上述问题,实践中也常常会采用加权平均资本成本WACC途径进行测算,即采用无形资产版权报酬贡献率模型来估测折现率r。这种无形资产折现率计算方法主要是依据企业价值中加权平均资本成本确认折现率的原理进行模拟:根据资产-负债相平衡的原则,即营运资金+固定资产+无形资产=付息债务+所有者权益,加权平均资本成本WACC认为企业是投资者投入企业资本的期望回报,它等于投资到企业的全部资产的期望回报(下述公式(1)),也可以理解为期望的股权回报率和债权回报率的加权平均(下述公式(2))。由于企业全部资产包括营运资金、有形非流动资产和无形资产组成,因此关于税前加权资本成本WACCBT(WACC 的计算可以采用税前或税后的数据参数,此处采用税前参数)有以下公式:

上述各参数的含义及取值方式如下:

根据以上公式(1)-(4),可计算得出折现率r。需要说明的是,首先,关于折现率r的计算方式,即使采用加权平均资本成本WACC途径,实践中也存在不同操作方法,包括直接将税前加权资本成本WACCBT与企业特定风险调整系数Rc累加计算,或者简单采用税前加权资本成本WACCBT或普通股权益资本成本Re进行等同测算。笔者认为,具体操作应结合评估的实际情况,充分利用能够获得的资料,尽量避免主观判断带来的误差;其次,上述计算方法中许多参数可以通过WIND等软件查询可比公司(主要为上市公司)的公开信息得出相关数据。当然,为获得更加准确的折现率r参数,同样需要待估企业配合提供更为详细、更为准确的信息。
四、手游版权衍生开发与实物期权法的应用
本文第一部分曾提到,手游版权的盈利模式除了付费下载、广告收入、道具出售方式外,还包括衍生品开发。收益法所确定的手游版权未来现金流的现值,是对手游版权的基本应用带来的商业收益。而对版权商品的合理开发利用带来的超额价值无法用收益法直接计算得出。这时可认为手游作品版权在基本使用之外,还存在着很多种期权。在确定要考虑的期权时主要判断两个主要因素,一是这项期权的价值,二是未来执行这项期权的可能性。对于价值很小、未来执行可能性较小的期权,没有必要考虑其价值。但如果在考虑手游版权购买所带来的期权时,买方已经确定了未来根据市场形势进行衍生产品开发的战略,或者卖方已经有较为成熟的衍生产品开发布局,那么对手游衍生产品开发权就可以考虑其期权价值。一般来说,手游版权最有价值和最有可能执行的期权就是衍生产品开发权,包括不同平台上对于该手游的移植开发。
此时将投资手游版权看作为一个看涨期权(如果未来市场形势好则执行期权,不好则放弃执行),则手游版权的整体价值为:
手游版权整体价值P=常规价值P1+期权价值P2
上述公式中,P1可以用本文第三部分中收益法方式得出。对于期权价值P2,可由布莱克—舒尔斯模型(Black-Scholes公式)计算求得。采用布莱克—舒尔斯模型估算知识产权价值的难点并不在数学计算,而在于参数如何选取,即选取哪些参数代入公式进行计算。

其中,N表示正态分布下的累计概率;
S 为期权标的资产的当前价格,其数值可以用收益法求出,即首先预测出执行这个期权项目之后所带来的现金流量,然后选取合适的折现率进行折现得出现值。需要注意的是,S是手游版权期权项目预期收益的现值,而不是手游作品本身基本应用带来的收益现值P1。如预期在T 年之后决定是否对该手游衍生品项目进行投资与开发,而该项目手游作品在T时点之后 n 年期限的衍生产品,则需要确定在n 年内衍生作品所带来的收益之和,再将收益折现到购买手游作品版权的时点上得到 S的数值;
X为手游衍生品期权项目的执行价格,即进行期权项目投资的时候所需要的期初投入成本。具体到案例上,就是决定对手游产品进行衍生改造时,如移植到其他游戏平台上发生的所有必要费用;
为期权项目投资年收益的波动性,即收益标准差。这个是期权定价模型中比较难确定的参数,通常只能使用历史数据来预测期权项目收益的标准差,需要根据类似资产投资收益率的波动性来预测期权项目投资未来收益的波动性;
T为期权执行到期时间长度。在具体手游版权价值评估中,T 为购买手游版权的时点距离预期会执行期权项目的时间间隔。
r 为无风险利率,计算方法同本文第三部分。
从上述公式可见,手游版权期权价值的计算还是比较复杂的。首先,期权定价模型需要复杂的方法来进行计算,同时还需要足够大的数据库予以数据支持,例如波动率等相关数据是期权定价模型运用的基础,而实践中这些数据的获取并不容易。其次,实物期权的价值还受到其他多重因素的影响。例如企业自身的战略执行能力、消费者偏好以及社会环境等因素,这些因素都会影响实物期权的价格,而其在传统的实物期权定价模型中还无法体现出来。因此,目前大部分手游版权价值评估时,通常选择暂不考虑其期权价值P2。
五、总结
手游版权价值的评估主要系测算手游版权运营所带来的未来确定现金流的折现,对其可采用收益法进行估值。收益法通常适用于大部分无形资产或知识产权的价值评估,但在预测收入、折现率与收益年限等具体参数的取值上,需要具体结合案例实际情况进行判断。手游产品所处的宏观经济环境、媒介技术环境、法律政策背景、市场供求竞争状态、大众文化喜好等因素,都会对参数取值产生影响。因此,在对手游版权价值评估时,应尽可能地与委托方沟通交流,最大程度地获得可靠数据,才能不断减小估值误差,精准反映待估手游版权资产的实际价值。
咨询电话
13932183744
业务咨询
咨询留言,我们会尽快联系您